Soal dan Pembahasan Matematika
Materi : Persamaan Lingkaran
Kelas XI
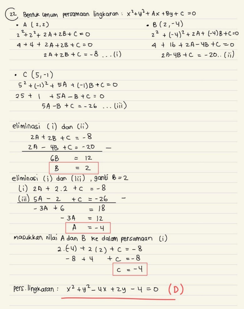
22. Persamaan lingkaran yang melalui titik-titik A (2,2), B(2, -4), C (5,-1) adalah ...
a. x2 + y2 - 4x + 6y - 5 = 0
b. x2 + y2 + 6x - 4y - 4 = 0
c. x2 + y2 + 2x - 6y - 3 = 0
d. x2 + y2 - 4x + 2y - 4 = 0
e. x2 + y2 + 4x - 8y - 3 = 0
Jawaban : D
>> soal no 23

No comments:
Post a Comment