Soal dan Pembahasan Matematika
Materi : Persamaan Lingkaran
Kelas XI
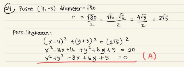
24. Persamaan lingkaran yang berpusat di (4, -3) dan berdiameter √80 adalah ...
a. x2 + y2 - 8x + 6y + 5 = 0
b. x2 + y2 - 8x + 6y - 3 = 0
c. x2 + y2 - 8 x - 6y - 3 = 0
d. x2 + y2 + 8x - 6y + 4 = 0
e. c. x2 + y2 + 8x - 6y - 5 = 0
Jawaban : A
>> soal no 25

No comments:
Post a Comment